OLX-365 UV-A檢查手電筒
經濟實惠的緊湊型UV-A LED手電筒,專為NDT設計
OPTI-LUX ™ 365個係列檢查手電筒設有加上一個堅固的陽極氧化燈體的有力UV-A(365 nm)的LED光源。輕巧緊湊,它們減輕了用戶的疲勞,同時提供了非常均勻的光束輪廓,超越了更昂貴的燈。有四種型號 可滿足您的特定NDT需求:高強度或標準強度版本,每個版本帶有或不帶有內部黑色濾光片。手電筒都帶有用於波長和輸出測量的光輸出證書。
127423圓頂透鏡用於OPTI-LUX™的半球形鏡頭
Spectro-UV是用於NDT熒光表麵檢查的UV-A燈的全球。無論NDT應用如何,我們都將在行業趨勢和技術創新方麵領先一步,以確保您獲得當今zui堅固耐用,兼容的燈具。我們的檢查燈和輻射計具有行業標準證書,因此zui終用戶知道他們的Spectro-UV產品符合zui新的要求和標準。這些包括ISO 3059,ASTM 3022和RRES 90061。
描述
在15英寸(38厘米)處選擇10,000μW/ cm 2的標稱穩態UV-A強度或zui大4,500μW/ cm 2的強度
15英寸(38厘米)處的覆蓋區域zui大直徑為2.5英寸(6.3厘米),zui小UV-A強度為1200μW/ cm2
陽極氧化鋁燈體zui大程度地減少了腐蝕,可承受數年的長時間使用
即時啟動操作;燈立即達到zui大強度
方便的開/關開關,易於單手操作
由一個可充電鋰離子電池供電,該燈泡隨附一個備用電池。每個充電之間可提供4個小時的連續檢查。
符合針對FPI和MPI的ASTM UV-A強度和波長規範
內置黑光濾光片可提供高強度和標準強度版本。可以購買帶有橡膠保險杠的外部安裝的黑色濾光片作為附件。
型號都配備的光輸出證書 的兩種輸出波長測量
符合ISO 3059規範

OPTI-LUX 365係xi列lie手shou電dian筒tong配pei備bei了le掛gua繩sheng,皮pi帶dai皮pi套tao,兩liang個ge可ke充chong電dian電dian池chi,帶dai有you交jiao流liu電dian源yuan線xian,直zhi流liu電dian源yuan線xian套tao件jian,可ke吸xi收shou紫zi外wai線xian的de眼yan鏡jing和he堅jian固gu的de手shou提ti箱xiang的de兩liang位wei置zhi智zhi能neng充chong電dian底di座zuo。
帶有BF-365LX外部黑色濾光片附件的OPTI-LUX™365手電筒。
光源: UV-A LED
燈頭樣式: 無繩手電筒
燈頭直徑: 1.25英寸(3.2厘米)
長度: 5.9英寸(15厘米)
重量(含電池): 4.6盎司(130克)
電力需求: 一節3.7V 2200mA / Hr鋰離子電池(可充電)
運行: 4小時(連續)
充電時間: 4小時(一兩節電池)
充電座: 帶有AC和DC線組的雙電池功能。
交流電源線有120V,230V,240V和100V版本。
➀采取Spectroline ACCUMAX™係列儀表的UV-A強度讀數,並在出廠時設置為顯示的值
➁,以解決航空業關注
兩種高強度模型
OPTI-LUX ™ 365係列手電筒有兩種模式:高強度被設計用於需要高UV-A輸出無損檢測應用模型。OLX-365配備有透明濾光片,而OLX-365B配備有內部黑光濾光片,可減少波長大於400 nm的輸出。兩種版本均在15英寸(38厘米)處提供10,000μW/ cm 2的標稱穩態UV-A強度。

高強度UV-A光束輪廓
兩種標準強度模型
OPTI-LUX ™ 365個手電筒也是兩個可用標準強度,其被設計用於需要有限UV-A輸出檢測應用的模型。OLX-365FL配備了透明濾光片,而OLX-365BFL配備了內部黑光濾光片,可減少波長大於400 nm的輸出。與高強度型號相比,這些燈還提供更大的覆蓋範圍。兩種版本均在15英寸(38厘米)處提供zui大為4,500μW/ cm 2的標稱穩態UV-A強度,以解決航空航天工業的擔憂。

標準強度UV-A光束輪廓
olx-365_standard-intensity_uv-a_beam_profile
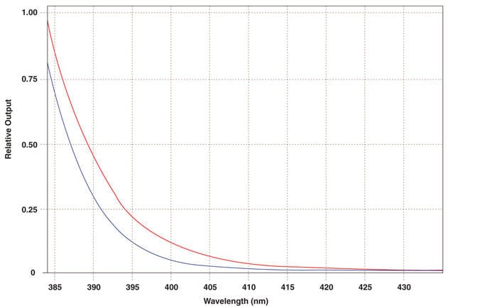
歸一化紫外線輻射
OPTI-LUX的典型波長輸出配置文件™ 365具有和不具有內部黑色濾光器,具有在365nm的峰。
olx-365_normalized_irradiance
選擇帶和不帶內部黑光濾光片的波長
作為OPTI-LUX的波長™ 365點移動到可見光範圍內,黑色光
濾波器顯著減少在400nm處的UV-A輸出的燈的多達50%。

olx-365_select_wavelengths
127423 圓頂鏡頭
128217 帶有AC線的電池充電底座(100-120V / 50-60Hz)
127568 可充電鋰離子電池
127574 皮帶架
127785 清除篩選
127796 橡膠燈罩
128225 直流電源線組
BF-365LX 帶橡膠保險杠的外部黑色濾光片
CC-365 便攜包
RP-UVS-30 眼鏡,吸收紫外線
| 型號 | 38厘米UV-A強度 | 可見光 | 38厘米處直徑 |
| OLX-365/FA高強度,帶透明濾鏡 | 10,000μW/厘米2 | 0.8英尺燭光(8.6 lux) | 2英寸(5.0厘米) |
| OLX-365B/FA高強度,帶有內部黑光濾鏡 | 10,000μW/厘米2 | 0.4英尺燭光(4.3 lux) | 2英寸(5.0厘米) |
OLX-365FL/FA標準強度,帶透明濾鏡 | 4,500μW/ cm 2 | 0.3英尺燭光(3.2 lux) | 2.5英寸(6.3厘米) |
| OLX-365BFL/FA標準強度,帶有內部黑光濾鏡 | 4,500μW/ cm 2 | 0.2英尺燭光(2.1 lux) | 2.5英寸(6.3厘米) |




添加微信谘詢!